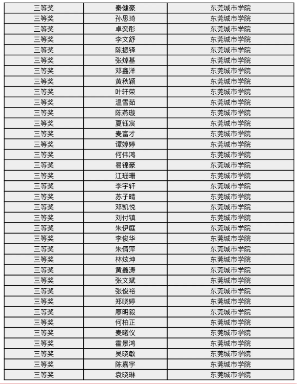
为了培养广大学生的计算思维能力和实践动手能力,提高学生学习积极性,增强创造力,营造浓厚的校园学术氛围,促进形成良好校风,实现跨地区、跨学校、跨专业人才培养,达到“以赛促教、以赛促学、共建共享”的目的,人工智能学院于2024年6月16日上午组织参与第三届全国大学生C语言程序设计大赛,最终取得了一等奖14位、二等奖44位、三等奖36位,以及大赛优秀组织单位奖的优异成绩。


此次大赛全国高等院校计算机基础教育研究会理工专业委员会支持,黑龙江省计算机学会、云南省高等学校计算机教学研究会等联合主办的,旨在增强广大学生的编程能力和实践水平,增强创造力,营造浓厚的校园学术氛围,实现跨地区、跨学校、跨专业人才培养的综合性赛事。本次大赛吸引了全国514所高校共计8523名高校大学生响应参赛。
接下来,人工智能学院将继续坚持“以赛促学,以赛促教”方式,推动教学质量的提升,并根据本次比赛经验进一步优化教育教学体系,鼓励学生积极参加学科竞赛,为国家培养高素质应用型人才而不懈努力。